12.10 Past Exam Questions
Concepts
\(\star \star\) 2013 #8 b f g h 12.1: Correlations, internal benchmarking
\(\star\) 2014 #8 12.2: internal systemic risk 3 components; risk indicator for each LoB for each risk component; Score the risk indicators
\(\star\) 2014 #11 12.3: External systemic risk and which lines impact the most
\(\star\) 2015 #8 12.4: Internal source, external source
\(\star\) 2015 #9 12.5: Internal benchmark
\(\star\) 2016 #10 12.6: int and ext sys risk and exampless, valuation class pick
TIA 2: Method for estimating internal CoV
\(\star\) TIA 3: Classification of risk categories (int. and ext.)
TIA 4: Pick the more important risk
TIA 5: legislative risk
TIA 8: How to model the risk
Calculations
\(\star\) 2013 #8 a c d e 12.1: Correlations, risk margins
2015 #8 d: Independent CoV
TIA 1: risk margin calculation
TIA 6: Find CoV and risk margin
\(\star\) TIA 7: CoV calc
Internal sys risk weighted by libailities amount
Combine all risk sources
Significance of a give risk source (based on weight)
Calculate change
Calculate change assuming full dependencies
\(\star \star\) TIA 9: CoV Calculation and risk margin full calc
12.10.1 Question Highlights

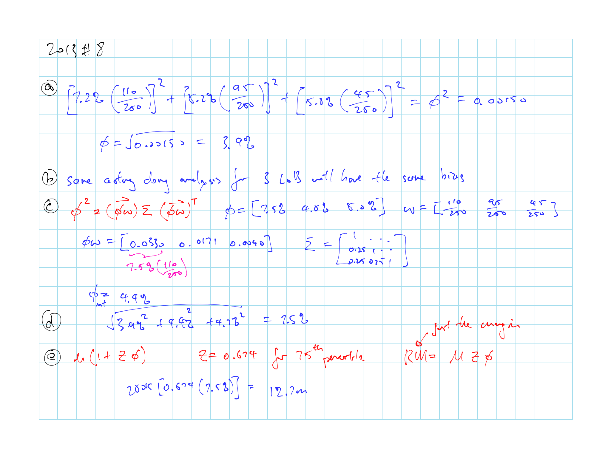
Figure 12.1: 2013 Question 8

Figure 12.1: 2013 Question 8

Figure 12.1: 2013 Question 8

Figure 12.1: 2013 Question 8

Figure 12.2: 2014 Question 8

Figure 12.2: 2014 Question 8

Figure 12.3: 2014 Question 11

Figure 12.3: 2014 Question 11

Figure 12.3: 2014 Question 11

Figure 12.4: 2015 Question 8

Figure 12.4: 2015 Question 8

Figure 12.4: 2015 Question 8

Figure 12.5: 2015 Question 9

Figure 12.5: 2015 Question 9

Figure 12.6: 2016 Question 10

Figure 12.6: 2016 Question 10

Figure 12.6: 2016 Question 10