15.7 Past Exam Questions
Concepts
\(\star\) 2011 - #12 a: higher \(g\) should be matched with higher \(\beta\) for being more risky
2011 - #12 c: relationship between \(g\) and \(k\)
2015 #17 b-c: \(\beta\) discussion
DDM
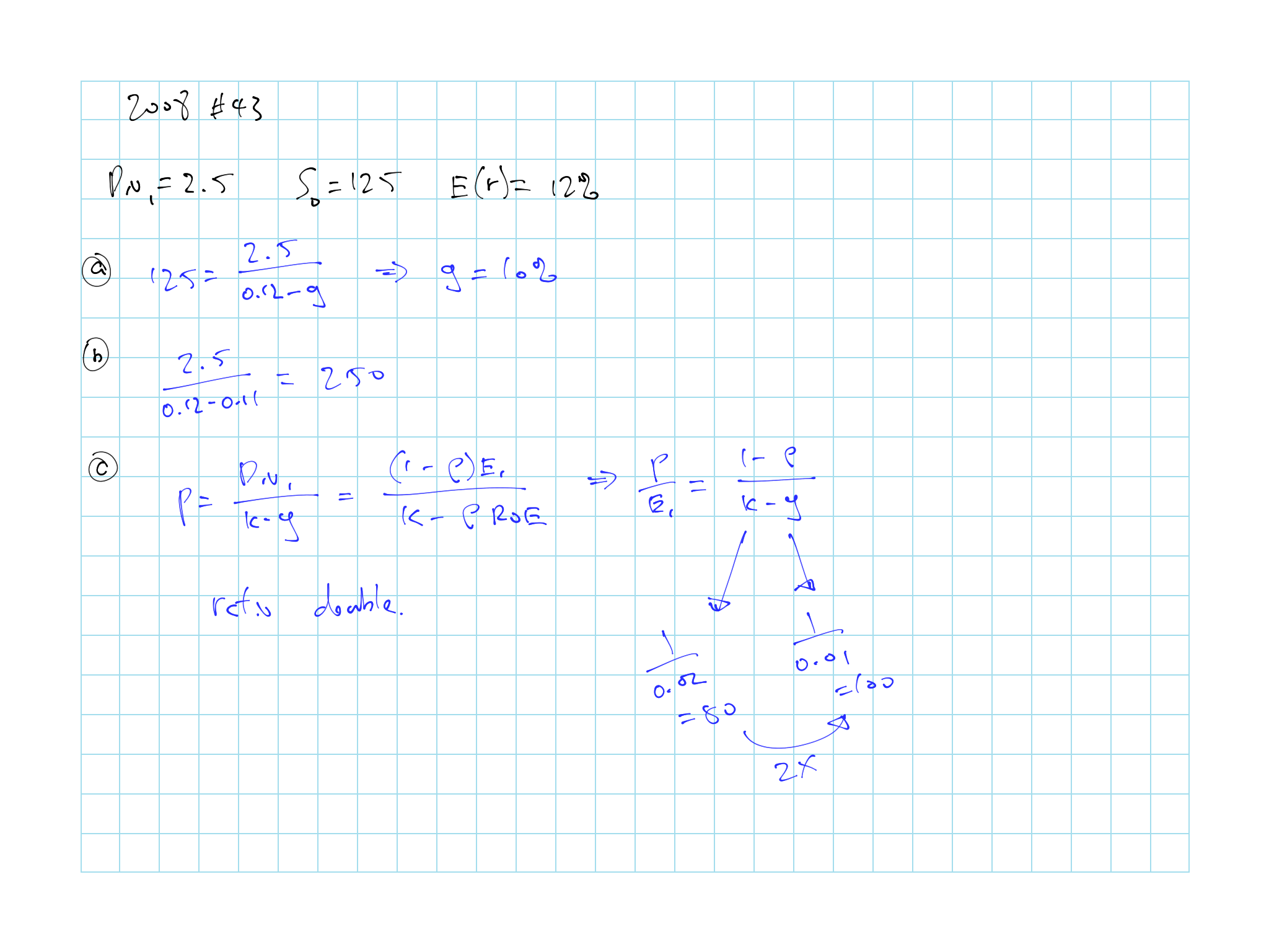
2008 #43 15.1: DDM calc and convert to P:E
\(\star\) 2008 #44: DDM calc and interpretation
2008 #45: Comparison on P:E
2009 #34
\(\star\) 2011 - #12 b: DDM calc (Get \(r_f\) as t-bond less liquidity premium)
- \(\star\) High growth should be more risky and have higher \(\beta\)
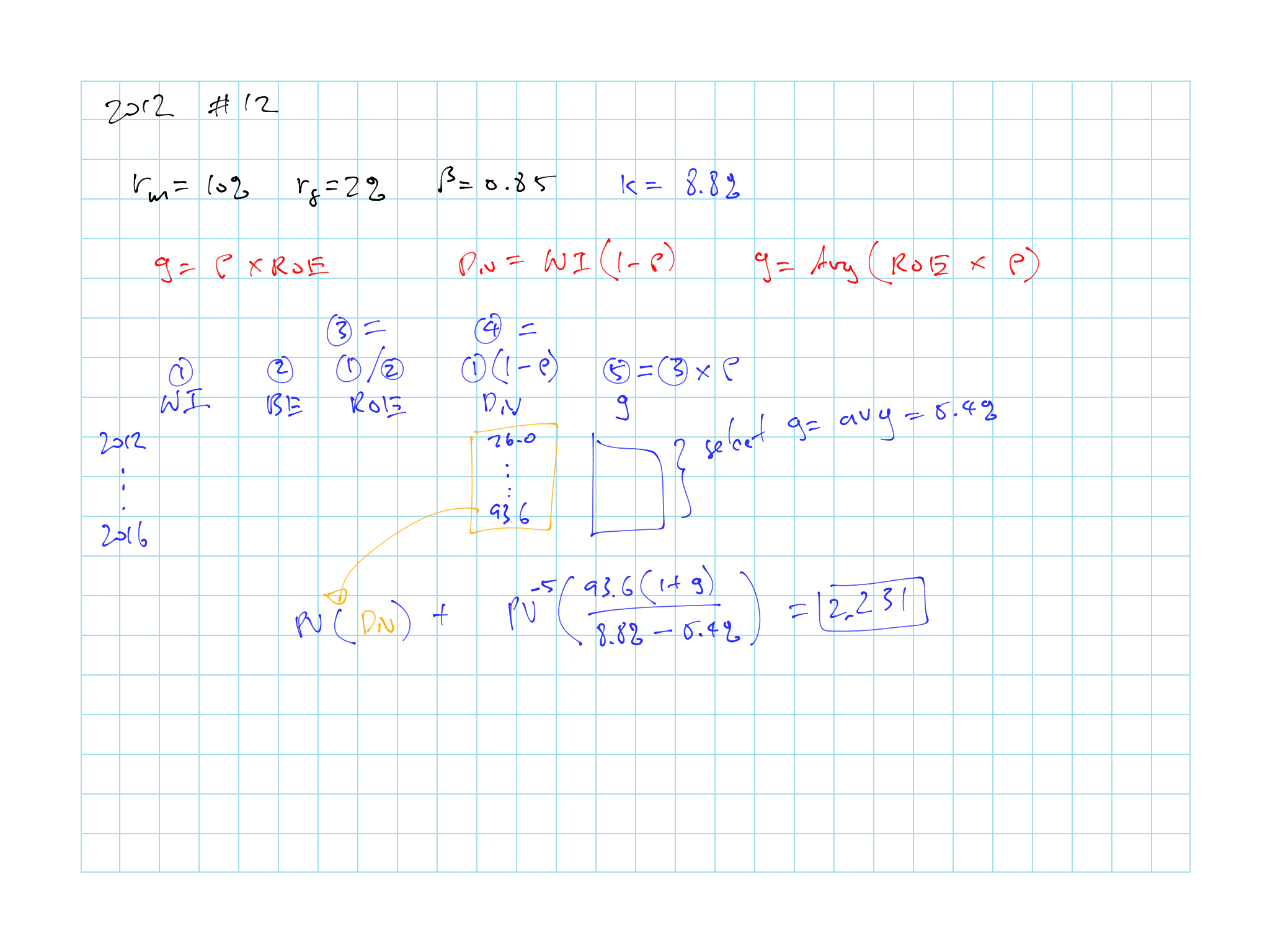
\(\star\) 2012 #12 15.5: Full calc with DDM
2014 #16: DDM calc
2015 #17 a: DDM calc
FCFE
\(\star\) 2009 #35 15.2: Full FCFE calc
\(\star\) 2013 #11 15.6: Full FCFE calc with discussion
- Flow to Equity vs to firm
2014 #17: FCFE Calc
\(\star\) 2015 #16: Discussion on DCF
2016 #19: FCFE
AE
\(\star\) 2010 #31 15.3: Full AE calc
2013 #12: Full AE Calc + discussion (AE vs DDM)
2015 #15: AE Calc + discussion
TIA 1: AE calc and P:E and interpretation
Relative Valuation
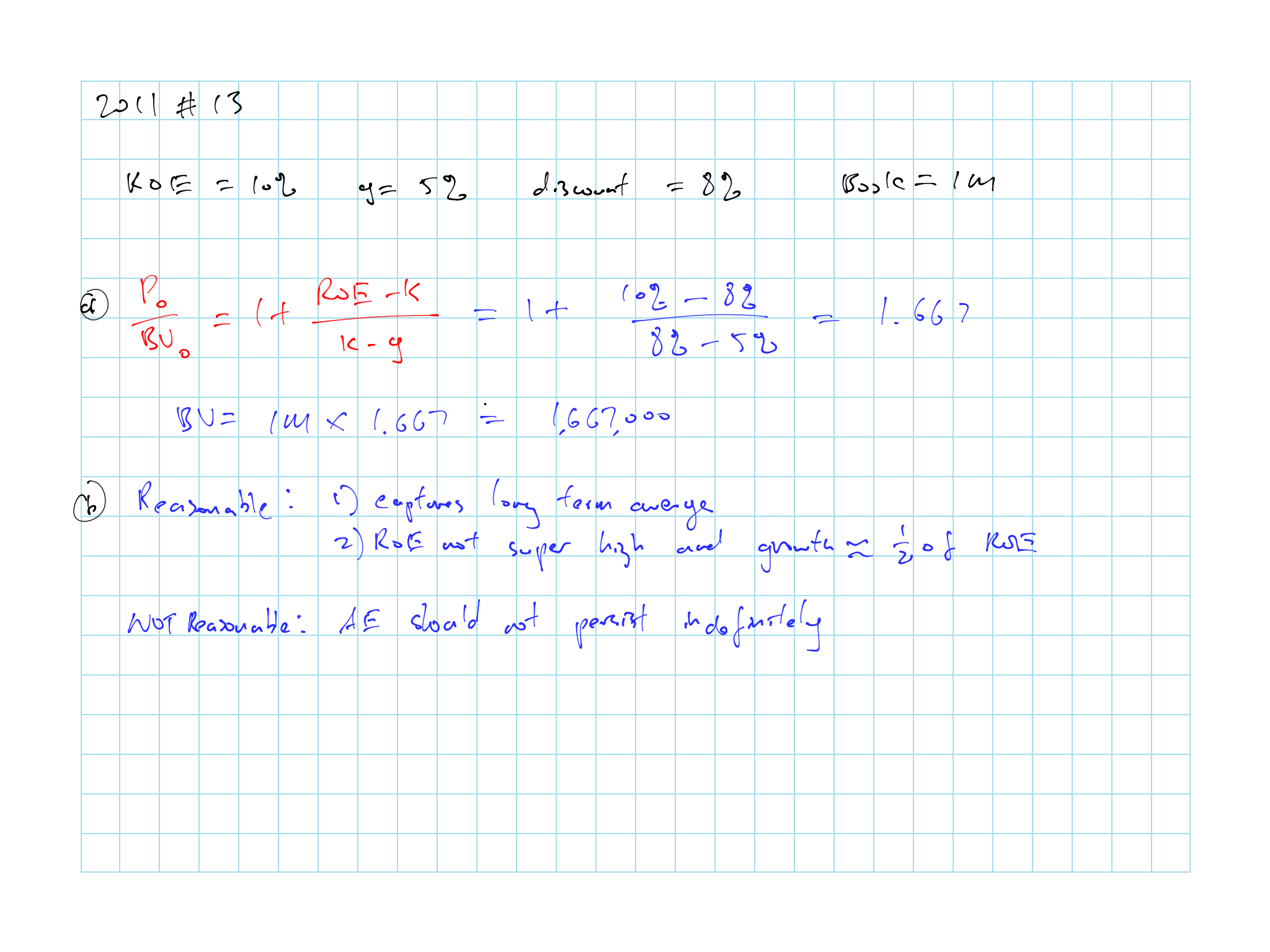
2011 - #13 15.4: Price to Book value calc + discussion on assumption
- \(\star\) Why and why not the growth should continue
\(\star\) 2014 #15: Price to Book calc using all the ratios given by LoB
2016 #20: P:E and P:B ratios
\(\star\) TIA 2: Need to know to use price to book
- \(\star\) Convert P:B to value, know what BV includes
Option pricing
TIA 3: Black scholes on projects
TIA 4: How to value firm as call option and why it doesn’t work for P&C companies
TIA 5: Real options
15.7.1 Question Highlights

Figure 15.1: 2008 Question 43

Figure 15.1: 2008 Question 43

Figure 15.2: 2009 Question 35

Figure 15.2: 2009 Question 35

Figure 15.2: 2009 Question 35

Figure 15.3: 2010 Question 31

Figure 15.3: 2010 Question 31

Figure 15.4: 2011 Question 13

Figure 15.4: 2011 Question 13

Figure 15.5: 2012 Question 12

Figure 15.5: 2012 Question 12

Figure 15.6: 2013 Question 11

Figure 15.6: 2013 Question 11