14.6 Past Exam Questions
Concepts
1998 - #55: formula vs empirical, expected difference given a scenario
2001 - #39 b: PDLD ratio pattern
First adjustment the basic premium is included in the retro premium computation; Small portion of loss is limited by the retro; LCF and TM also impacts it
At later periods, more losses are capped by the limit
2003 - #9: Loss capping ratio properties Double check
2003 - #10: Feldblum comment on Teng Perkins: premium responsiveness decreases at higher LR for a book of business
2007 - #36: Retro premium and reported losses relationship on graph
\(\star\) 2014 #12 14.4: incremental losses vs premium relationships
\(\star\) 2015 #14 14.5: PDLD ratio
TIA 2b: Difference in the first period
Calculations
\(\star\) 1999 - #55 14.1: Calculating CPDLD and expected future premium
- Remember to apply \(CPDLD_1\) to all policies that have not have an adjustment
2001 - #39 a: CPDLP
2002 - #14: Premium asset = Expected Future Premium + Premiums booked from prior adjustment - premium booked as of current
2004 - #7: Empirical PDLD ratio
2005 - #20: Premium asset calc with PDLD
\(\star\) 2006 - #23: \(PDLD\) from formula and why the loss capping ratios decrease over time
2007 - #5: \(PDLD_2\) plug and play
2008 - #14: premium asset
\(\star\) 2009 - #6 14.2: Premium after 2nd retro adjustment
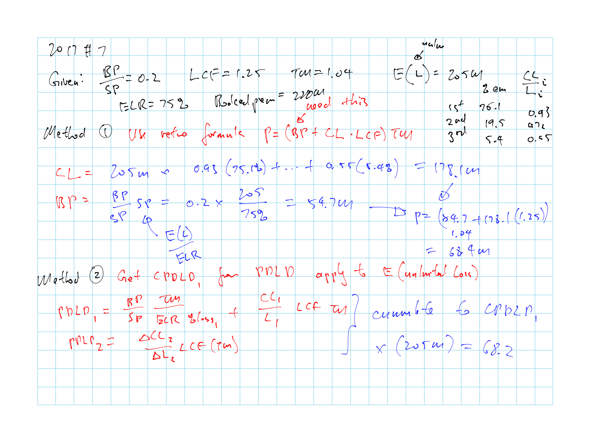
\(\star \star\) 2012 - #7 14.3: Retrospective premium asset, good question, 2 methods to do
- Can calculate a weighted capping ratio
\(\star\) 2013 #6 a-c: PDLD 1 to 3 and relationship with loss capping ratio, ratio should decrease monotonically
- State whether you using the loss capping ration as cumulative or incremental
2015 #14 a: PDLD 1 and 2 plug and play
\(\star \star\) 2016 #18: quarter calculation premium asset
TIA 1: Retro formula plug and play
TIA 2a: plug and play
\(\star\) TIA 3: PDLD and CPDLD and practical application
\(\star\) TIA 4: CPDLD for all AYs and premium asset
\(\star \star\) TIA 5: Premium asset for quarterly eval
TIA 6: PDLD calc given loss and premium
\(\star\) TIA 7: CPDLD, using the enhancement
14.6.1 Question Highlights

Figure 14.1: 1999 Question 55

Figure 14.1: 1999 Question 55

Figure 14.2: 2009 Question 6

Figure 14.2: 2009 Question 6

Figure 14.3: 2012 Question 7

Figure 14.3: 2012 Question 7

Figure 14.4: 2014 Question 12

Figure 14.4: 2014 Question 12

Figure 14.5: 2015 Question 14

Figure 14.5: 2015 Question 14